蘑菇街是一个非常火爆的网上购物平台, 尤其许多年轻用户选择在蘑菇街购买自己喜欢的商品, 但是在购物过程中难免会遇到自己不喜欢的商品或者不满意的东西, 那么蘑菇街怎么退货, 蘑菇街怎么退款呢, 下边就为大家提供一下官方的退货/退款规则!
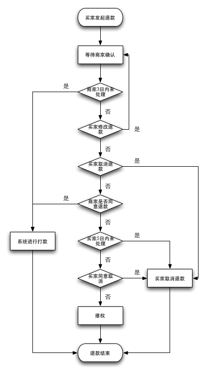
一、退货退款流程如下:

1. 买家可在以下时间范围内提交退货退款申请:商家发货后至确认收货后商家订购的无理由退货承诺时间内申请。
2. 如买家已提交退货退款申请, 但商家在3天内未操作, 则系统默认商家同意退货退款申请, 进入到下一个环节。
3. 如果商家拒绝了买家的退货退款申请, 买家约定时间(参见第1条)内, 可以重新修改申请或者重新申请。
4. 商家同意退货申请, 进入等待买家退货的环节, 如果买家在7天内未完成退货操作(填写物流单号, 确认退货), 则默认退货退款申请关闭, 但买家可以在约定时间(参见第1条)内再次发起退货退款申请。
5. 如果买家已将退货发出, 商家在10天内未操作, 则默认进入下一个环节:等待退款。
6. 买家将退货发出后, 商家可以确认收货也可以选择未收到货, 如果商家选择了未收到货, 买家须在5天内处理, 否则会默认取消退货退款。
7. 商家确认收货后, 蘑菇街会即刻操作退款。
二、仅退款不退货流程如下:

| 为你推荐 | p2psearcher绿色免安装版(ED2K种子搜索神器)4.1 官网绿色版 免费版 |
| 就去看看 | https://www.arpun.com/soft/8806.html |
1. 买家可在以下时间范围内提交退款申请:买家已付款至确认收货后商家订购的无理由退货承诺时间内申请。
2. 如买家已提交退款申请, 但商家在3天内未操作, 则系统默认商家同意退款申请, 进入到下一个环节。
3. 如果商家拒绝了买家的退款申请, 买家在约定时间(参见第1条)内, 可以重新修改申请或者重新申请。
4. 如商家同意了退款申请, 蘑菇街会即刻操作退款。














